Ειδήσεις
Καταθέσεις Χρημάτων: Στις τελευταίες θέσεις η Αιτωλοακαρνανία με 2.919 ευρώ
Νέα αύξηση στις καταθέσεις των Ελλήνων, συνεχίζονται οι εισροές – Η εικόνα ανά Νομό της χώρας
Αύξηση καταγράφεται στο σύνολο των τραπεζών – Στην Αττική τα σκήπτρα, ποιοι νομοί συμπληρώνουν την πεντάδα και ποιοι… τερματίζουν τελευταίοι.
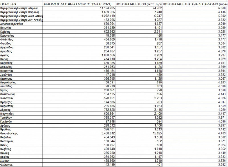
Καταθέσεις, ύψους άνω των 4.700 ευρώ κατά μέσο όρο, εμφανίζονται να έχουν οι Έλληνες στις τράπεζες, με τους κατοίκους του Νομού Αττικής, αλλά και των Κυκλάδων, να κρατούν τα… σκήπτρα με τα μεγαλύτερα υπόλοιπα στους λογαριασμούς τους.
Ειδικότερα, σύμφωνα με τα τελευταία στοιχεία της Τράπεζας της Ελλάδος (ΤτΕ), στα τέλη του περασμένου Ιουνίου (η σχετική απογραφή πραγματοποιείται σε εξαμηνιαία βάση) οι καταθέσεις επιχειρήσεων και νοικοκυριών «άγγιξαν» τα 170 δισ. ευρώ, εκ των οποίων:
Όψεως: 58 δισ. ευρώ
Ταμιευτηρίου: 74 δισ. ευρώ και
Προθεσμίας: 38 δισ. ευρώ.
Πιο αναλυτικά, «πρωταθλητές» στην αποταμίευση αναδεικνύονται οι κάτοικοι της Αθήνας, με λογαριασμούς γύρω στα 11 εκατομμύρια, υπόλοιπα 74,8 δισ. ευρώ και μέση κατάθεση 6.680 ευρώ, ενώ ακολουθούν όσοι κατοικούν ή εργάζονται στην Ανατολική Αττική, με ποσά ανά λογαριασμό πέριξ των 5.302 ευρώ (1.272.419 εν ενεργεία λογαριασμούς, με συνολικές καταθέσεις 6,7 δισ. ευρώ).
Την πεντάδα συμπληρώνουν οι διαμένοντες σε Κυκλάδες, Αρκαδία και Χίο, με μέσο όρο καταθέσεων 5.201 ευρώ, 4.870 ευρώ και 4.840 ευρώ αντίστοιχα.
Στον αντίποδα, μικρότερα ποσά εμφανίζονται να κατέχουν οι κάτοικοι – μόνιμοι ή μη – σε Αιτωλοακαρνανία (2.919 ευρώ), Κιλκίς (2.924 ευρώ), Ηλεία (3.029 ευρώ), Κέρκυρα (3.067 ευρώ) και Δωδεκανήσου (3.083 ευρώ) που έχουν σωρευτικά πάνω από δύο εκατομμύρια εν ενεργεία λογαριασμούς.
Αύξηση καταθέσεων για τις τέσσερις τράπεζες
Κάτι παραπάνω από ενθαρρυντικά είναι τα στοιχεία για τις εισροές καταθέσεων, με τις εγχώριες τράπεζες να καταγράφουν υψηλές… πτήσεις στα τέλη του περασμένου Σεπτεμβρίου.
Πιο αναλυτικά:
Νέο υψηλό κατέγραψαν στην Alpha Bank οι εγχώριες καταθέσεις, οι οποίες αυξήθηκαν κατά 1,4 δισ. ευρώ σε τριμηνιαία βάση και ανήλθαν σε 40,7 δισ. ευρώ, κυρίως από καταθέσεις πρώτης ζήτησης – κυρίως επιχειρήσεων – οι οποίες αποτελούν άνω του 80% των συνολικών εγχώριων καταθέσεων.
Σε ετήσια βάση, τα υπόλοιπα καταθέσεων στην Ελλάδα σημείωσαν αύξηση κατά 4,9 δισ. ευρώ (+13,8%), ως αποτέλεσμα του υψηλότερου ρυθμού αποταμίευσης των νοικοκυριών και των επιχειρήσεων
Όσον αφορά στον Όμιλο, το γ’ τρίμηνο του 2021 οι συνολικές καταθέσεις σημείωσαν αύξηση 1,5 δισ. ευρώ και ανήλθαν σε 46,5 δισ. ευρώ (+3,3%).
Σε 49,6 δισ. ευρώ διαμορφώθηκαν το εννεάμηνο του 2021 οι εγχώριες καταθέσεις της Εθνικής Τράπεζας, αυξημένες κατά 5,9 δισ. ευρώ ή 13,5% σε ετήσια βάση παρά τη διαμόρφωση των επιτοκίων σε σχεδόν μηδενικά επίπεδα, αντανακλώντας τις εισροές καταθέσεων όψεως και ταμιευτηρίου και σε αντιστάθμισμα των εκροών των καταθέσεων προθεσμίας.
Ειδικότερα, οι καταθέσεις του Ομίλου διαμορφώθηκαν σε 51,1 δισ. ευρώ το γ’ τρίμηνο του τρέχοντος έτους, αποτελώντας σχεδόν το 80% των συνολικών πηγών χρηματοδότησης της τράπεζας.
Οι καταθέσεις στις διεθνείς δραστηριότητες διαμορφώθηκαν σε 1,5 δισ. ευρώ, αμετάβλητες σε τριμηνιαία βάση.
Ενισχυμένες κατά 3,8 δισ. ευρώ το εννεάμηνο του 2021 και κατά 1,4 δισ. ευρώ το γ’ τρίμηνο έναντι του β’ τριμήνου του ίδιου έτους οι καταθέσεις πελατών της Eurobank.
Ειδικότερα, οι καταθέσεις ταμιευτηρίου και όψεως ανήλθαν σε 37,5 δισ. ευρώ και οι προθεσμιακές και λοιπές σε 13,6 δισ. ευρώ.
Ο δείκτης χορηγήσεων προς καταθέσεις βελτιώθηκε περαιτέρω σε 73,8% από 75,4% το β’ τρίμηνο του 2021, ενώ εξίσου βελτιωμένος υπήρξε και ο δείκτης κάλυψης ρευστότητας (σε 168,2% το γ’ τρίμηνο του 2021 από 166,4% το β’ τρίμηνο του τρέχοντος έτους).
Τέλος, σε 52,2 δισ. ευρώ ανήλθαν στο τέλος Σεπτεμβρίου του 2021 οι καταθέσεις πελατών της Τράπεζας Πειραιώς, αυξημένες κατά 11% σε ετήσια βάση, ξεπερνώντας το επίπεδο προ κρίσης.
Το κόστος καταθέσεων συνέχισε να μειώνεται και διαμορφώθηκε στις επτά μ.β. έναντι εννέα μ.β. το 2ο 3μηνο του 2021 και 16 μ.β. το 3ο 3μηνο του 2020.


newmoney.gr














